
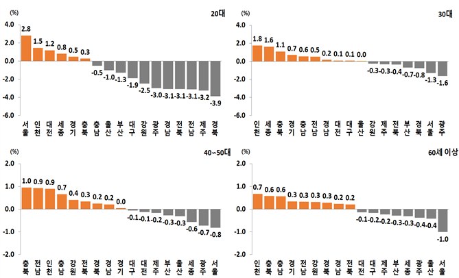
극단적인 청년층 수도권 쏠림이 지난해에도 이어졌다. 1년간 5만 명에 육박하는 20대가 비수도권에서 수도권으로 이동했다.
국가데이터처가 29일 발표한 ‘2025년 국내인구이동’ 통계에 따르면, 지난해 비수도권에서 20대 4만8300명이 순유출됐다. 경북과 경남에선 각각 8800명, 9100명이 빠져나갔다. 비수도권에서 순유출된 20대는 그대로 수도권으로 이동했다. 서울은 3만5900명이 순유입됐다. 인천과 경기의 20대 순유입은 각각 5000명, 7400명이다.
30대는 비수도권에서 수도권으로 이동보다 수도권 내 이동이 두드러졌다. 지난해 비수도권에서 수도권으로 순이동은 2200명에 불과했다. 수도권 내에선 서울에서 1만8700명이 순유출되고, 인천과 경기에 각각 7500명, 1만3600명이 순유입됐다.
이는 서울을 매개로 비수도권 청년층이 서울에 재분배되고 있음을 의미한다. 비수도권 20대가 진학·취업을 목적으로 서울에 유입된 뒤, 30대에 혼인·출산을 거치며 주거 마련을 목적으로 인천·경기 등으로 이동하는 것이다.
반면, 40·50대에서는 수도권에서 비수도권으로 순이동이 나타났다. 60세 이상에서는 이런 경향이 더 뚜렷했다. 비수도권은 수도권에 청년층을 내주고 장·고령층으로 돌려받는 구조다. 이는 비수도권의 경제활동인구 감소, 출생아 감소 등 지방소멸을 앞당기는 요인으로 작용한다.
전 연령대에서는 수도권으로 인구 쏠림이 여전했으나, 그 강도는 약해졌다. 비수도권에서 수도권으로 이동은 전년보다 500명 느는 데 그쳤으나, 장·고령층을 중심으로 수도권에서 비수도권으로 이동이 7000명 늘어 비수도권에서 수도권으로 순이동은 전년보다 소폭 감소했다.
한편, 수도권 집중 추세에서도 충청권의 약진이 두드러졌다. 대전은 20대 2200명, 30대 200명이 순유입되는 등 전 연령대에서 2800명이 순유입됐다. 충북은 20·30대를 비롯한 전 연령대에서 인구가 순유입돼 총 1만800명의 순유입을 기록했다. 충남은 20대에서 순유출(1100명)됐으나, 30대가 1400명 순유입되는 등 총 8300명이 순유입됐다.
반면, 광주와 부산, 대구 등 주요 비수도권 광역시는 20대를 중심으로 인구 순유출이 이어졌다.



