경제 성장의 ‘바로미터’ 역할을 하는 산업용 전력 판매량이 한국 경제의 위기를 외치고 있다. 지난해부터 이어진 산업용 전력 판매량 감소 추세가 올해 1월 금융위기 이후 최대 감소 폭을 보이며 심각성이 더해진 것. 문제는 신종 코로나바이러스 감염증(코로나19)이 본격적으로 확산하기 전부터 이 같은 모습을 보였다는 점이다. 코로나19 사태에 따른 경제 충격이 한국 경제를 얼마나 흔들지 예측도 힘든 상황이다.
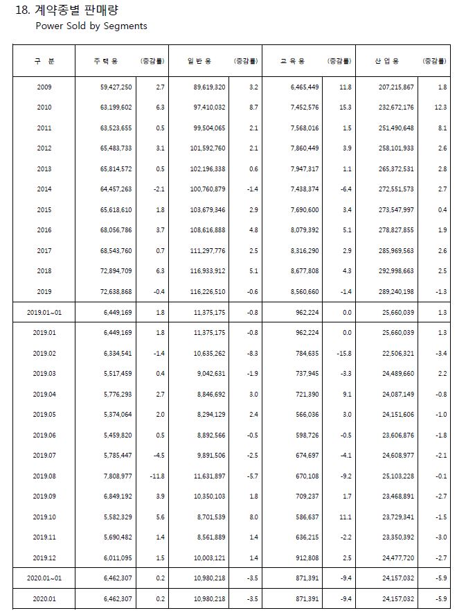
31일 한국전력의 전력통계속보에 따르면 올해 1월 산업용 전력판매량은 2416만MWh로 1년 전보다 150만MWh(5.9%) 줄었다. 이는 글로벌 금융위기 직후인 2009년 1월(-11%) 이후 11년 만에 최대 감소 폭이다.
산업용 전력판매량은 경기 상황을 진단하는 척도로 꼽힌다. 경기 부진으로 공장 가동이 줄고 생산이 감소하면 그에 따라 전력사용량도 함께 줄어들기 때문이다. 특히 한국의 산업구조는 철강, 석유화학 등 전력사용량이 많은 제조업 비중이 커 전력사용량과 경기 흐름 간의 연관성이 높다.
산업용 전력판매량 감소 추세는 이미 지난해부터 시작됐다. 지난해 4월 전년 동기 대비 마이너스를 기록한 이래 10개월 연속 줄었다.
문제는 앞으로다. 코로나19가 본격 확산된 2월 산업용 전력 판매량은 1월 감소 폭을 훌쩍 뛰어넘을 가능성이 크다. 2월부터는 코로나19가 국내에 본격적으로 확산했고 3월에는 전 세계로 퍼지는 형국이어서 산업용 전력수요는 더 많이 줄어들었을 가능성이 크다.
실제로 통계청이 이날 발표한 ‘2월 산업활동동향’에 따르면 2월 전 산업생산은 전월보다 3.5% 감소, 2011년 2월(-3.7%) 이후 9년 만에 최대 감소 폭을 기록했다. 특히 제조업 평균가동률은 70.7%에 불과해 전월 대비 4.9%포인트(p) 하락했다. 이에 따라 산업용 전력판매량의 11개월 연속 마이너스는 불가피해 보인다.
한 경제전문가는 “디플레이션과 노동비용 상승에 따른 노동공급 축소 문제, 생산성 향상이 이뤄지지 않은 상황이 겹치면서 산업 생산이 줄고 전력 수요도 감소한 것으로 보인다”며 “여기에 코로나19 사태로 글로벌 경기 침체가 심화하면서 경제 상황은 더 악화되고 있다”고 평가했다.



